Версия для слабовидящих
Общие сведения
Результаты за 3 года
Результаты за 5 лет
Медиакомпетенции
Мои сертификаты
Публикации
Педагогическая деятельность
Профессиональная деятельность
Методическая деятельность
Материальная база
Доп. проф. образование
Копии документов
Отзывы
Луцкая Виктория Евгеньевна
Профессиональное портфолио воспитателя
Адрес:
Российская Федерация, Новосибирская обл., Барабинский р-н, г. Барабинск
Портфолио ведется с:
13.01.2023
Последнее обновление:
12.03.2026 16:12
Общие сведения
Результаты за 3 года
Результаты за 5 лет
Медиакомпетенции
Мои сертификаты
Публикации
Педагогическая деятельность
Профессиональная деятельность
Методическая деятельность
Материальная база
Доп. проф. образование
Копии документов
Отзывы
Методическая деятельность
Методические выступления
Дата
Выступление
21/01/2024
Формирование речевой активности младших дошкольников через различные виды детской деятельности
Формат:
выступление очное
Вид мероприятия:
семинар
Форма участия:
участник
Направленность:
иное
Предмет:
Детское речевое творчество как условие полноценного общения детей младшего/среднего возраста.Доклад.
Файл
(JPG; 917.24 Кб)
Обобщение педагогического опыта
Дата
Педагогический опыт
02/02/2026
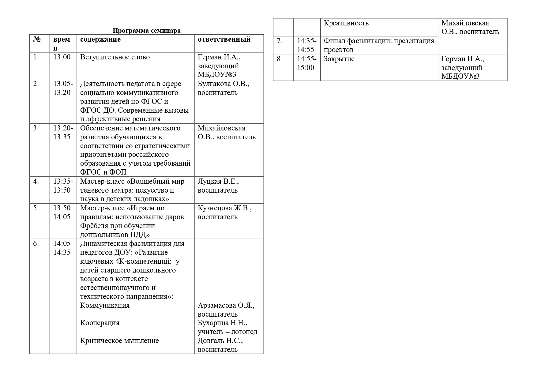
Волшебный мир теневого театра: искусство и наука в детских ладошках
Форма представления:
Мастер-класс
Уровень:
внутри ОО
1 стр
2 стр
24/10/2025
Применение нейросети в педагогической практике
Форма представления:
мастер-класс
Уровень:
внутри ОО
стр.1
стр2
15/05/2025
Семейные театрализованные игры как средство социально-коммуникативного развития дошкольников
Форма представления:
мастер-класс
Уровень:
районный
Файл
(DOC; 41 Кб)
Ссылка на ресурс в Internet
14/01/2025
Задачи и содержание образовательной деятельности в подготовительной группе по ФОП
Форма представления:
Доклад
Уровень:
внутри ОО
Программа МО
Программа МО стр2
13/03/2024
«Развитие речевых способностей детей через театрализованную деятельность».
Форма представления:
Доклад
Уровень:
внутри ОО
Программа методического объединения старших и подготовительных групп 2 стр
Программа методического объединения старших и подготовительных групп
21/01/2024
Детское речевое творчество как условие полноценного общения детей младшего/среднего возраста
Форма представления:
Доклад
Уровень:
внутри ОО
Файл
(DOCX; 39.22 Кб)
Программа
19/01/2024
Сказко-терапия ,как фактор здоровьесберегающей среды ДОУ
Форма представления:
Мастер-класс
Уровень:
внутри ОО
Стр.1
стр.2
14/11/2023
«Ордынская роспись как региональный компонет»
Форма представления:
мастер-класс
Уровень:
внутри ОО
Файл
(DOCX; 27.26 Кб)
Ссылка на ресурс в Internet
Мастер-класс "Ордынская роспись"
Мастер-класс Ордынская роспись 1
20/02/2023
Формирование речевой активности младших дошкольников через различные виды детской деятельности
Форма представления:
Доклад
Уровень:
внутри ОО
Файл
(DOCX; 24.19 Кб)
Конспекты занятий, мероприятий, мастер-классов
Учебный год
Конспекты занятий, мероприятий, мастер-классов
2026 / 27
Доклад «Сказкотерапия как фактор здоровьесберегающей среды ДОУ отчет о проделанной работе в условиях реализации ФОП ДО»
(DOCX; 27.48 Кб)
2025 / 26
Конспект мастер-класса для педагогов ДОУ «Ордынская роспись - региональный компонент декоративно-прикладного искусства Новосибирской области»
(DOCX; 27.26 Кб)
2025 / 26
Картотека игр и упражнений МУЛЬТСТУДИЯ "аПЕЛЬСИН"
(DOCX; 19.26 Кб)
2025 / 26
Методические рекомендации МУЛЬТСТУДИЯ " АПЕЛЬСИН"
(DOCX; 19.91 Кб)
2025 / 26
Сценарии-циклы занятий МУЛЬТСТУДИЯ" АПЕЛЬСИН"
(DOCX; 50.6 Кб)
2024 / 25
"Детское речевое творчество как условие полноценного общения детей младшего/среднего возраста"
(DOCX; 39.22 Кб)
2023 / 24
МК «Сказкотерапия как фактор здоровьесберегающей среды ДОУ
(DOCX; 29.13 Кб)
2022 / 23
«Формирование речевой активности младших дошкольников через различные виды детской деятельности»
(DOCX; 24.19 Кб)
Мы используем cookies для наилучшего представления нашего сайта. Отключить cookies Вы можете в настройках своего браузера.
СОГЛАСЕН
Размер шрифта
А
А
А
Шрифт
Ая
Ая
Ая
Межсимвольный интервал
aa
aa
aa
Межстрочный интервал
Цветовая схема
А
А
А
А
А
Изображения
Озвучивать